Optimal Strategy for Soccer Flipcup

[Soccer Flipcup]{.underline}

Soccer Flipcup can be expressed as a 1-dimensional random walk with boundaries at 0 and $N$. In each of the intermediate states $(1,N - 1)$, there exist a pair of competing players who play "flip cup". If the player from the onward team wins, the state increases from $n$ to $n + 1$, in which case the (n+1)th players compete. Otherwise, the state decreases from $n$ to $n - 1$, and the (n-1)th players compete. This continues until the state reaches either 0 or $N$, when the gameplay stops and the corresponding team wins.

The game typically begins with state $\frac{N}{2}$ for odd players or $\frac{N}{2} \pm \frac{1}{2}$ for even players.

For each of the teams of $N - 1$ players, we consider what is the optimal assignment of states to each of the $N - 1$ players as a function of their rank in flipcup skill.

This game, for one of the teams, can be represented by the following set of equations, where $p(n)$ is the probability of victory given action is on state $n$, and where $q_{n}$ is the likelihood of winning state $n$

$$p\left( n \right) = \left{ \begin{matrix} \ 1,\ \ \& n = N \ q{n}p\left( n + 1 \right) + \left( 1 - q{n} \right)p\left( n - 1 \right),\ \ \& 0 < n < N \ 0,\ \ \& n = 0 \ \end{matrix} \right.\ $$

The non-trivial equation becomes

$$\frac{1 - q{n}}{q{n}} = \frac{p\left( n + 1 \right) - p\left( n \right)}{p\left( n \right) - p\left( n - 1 \right)}$$

Recursively,

$$p\left( n + 1 \right) - p\left( n \right) = p\left( 1 \right)\prod{m = 1}^{n}\frac{1 - q{m}}{q_{m}}\ $$

Notice we can also write $p\left( n \right)$ as

$$p\left( n \right) = \sum{m = 1}^{n}{p\left( m \right) - p\left( m - 1 \right)} = p(1)\sum{m = 1}^{n}{\prod{s = 0}^{m - 1}\frac{1 - q{s}}{q_{s}}}$$

To find $p\left( 1 \right)$, we use the fact that $p\left( N \right) = 1$,

$$p\left( 1 \right) = \left( \sum{m = 1}^{N}{\prod{s = 0}^{m - 1}\frac{1 - q{s}}{q{s}}} \right)^{- 1}$$

Now we have a closed form equation for $p(n)$

$$p\left( n \right) = \frac{\sum{m = 1}^{n}{\prod{s = 0}^{m - 1}\frac{1 - q{s}}{q{s}}}}{\sum{m = 1}^{N}{\prod{s = 0}^{m - 1}\frac{1 - q{s}}{q{s}}}}$$

[Nash Equilibrium]{.underline}

What is clear that given two exactly identical teams and perfect information, $q{n} = \frac{1}{2}$ for all $n$. If one team seeks an advantage by swapping $y$ with $z$, the other team can make the identical swap to keep $q{n} = \frac{1}{2}$ . As this process continues, both teams would end up with optimal positions and would be unable to improve their odds. This end state is a proper Nash Equilibrium state. And it would happen that $q_{n} = \frac{1}{2}$ for all $n$. In the equilibrium state, $p\left( n \right)$ simplifies to

$$p\left( n \right) = \frac{\sum{m = 1}^{n}1}{\sum{m = 1}^{N}1} = \frac{n}{N}$$

That is, for odd player games, the likelihood of winning is $\frac{1}{2}$, and for even player games, one of the teams would have an advantage of $\frac{1}{N}$.

[What is this Nash Equilibrium state?]{.underline}

To find which $n = t$ has the most importance, and therefore requires the greatest strength, we take the partial derivative of $p\left( n \right)$ with respect to $q{t}$. We assume $q{n} = \frac{1}{2}$, as per the Nash equilibrium.

$$\frac{\partial p\left( n \right)}{\partial q_{t}} \propto \text{Nmax}\left( n - t,0 \right) - n(N - t) = \text{Nmin}\left( n,t \right) - nt$$

This equation tells you that with $N - 1$ players and a starting position $n$, which positions "t" are the most important and therefore require the strongest players.

The optimal strategy is as follows:

  • The equation is maximized at $t = n$ (since $N > n$). That shouldn't be surprising to anyone, that the best player should be in the starting position

  • $\partial p\left( n \right)$ decreases both as both $t$ increases and decreases from $n$. The best players should be around the starting position

  • As $t$ increases, $\partial p\left( n \right)$ decreases by $n$. As $t$ decreases, $\partial p\left( n \right)$ decreases by $N - n$.

  • This implies that for $n = \frac{N}{2}$, which is a common starting position, there is symmetry, meaning you are indifferent between switching players between the $\frac{N}{2} + a$ and $\frac{N}{2} - a$ positions

  • However, say $n > \frac{N}{2}$. Then you would want to put your second-best player in the $n - 1$ spot. This is particularly relevant for games with an even number of players.

Here is a diagram for a special case of N=8.

N   8

t                            
      1   2    3    4    5    6    7

n 1 7 6 5 4 3 2 1 2 6 12 10 8 6 4 2 3 5 10 15 12 9 6 3 4 4 8 12 16 12 8 4 5 3 6 9 12 15 10 5 6 2 4 6 8 10 12 6 7 1 2 3 4 5 6 7

An apolitical view of immigration policy

Foreign occupiers of a host nation unlike those born in the host nation are generally there on the goodwill of the host nation. It is important to remember that a host country has no obligation to its foreign citizens other than universal rights. Therefore immigrants generally cannot complain about immigration policies, however dumb or immoral they appear to be. Accepting this, immigration policies can still be designed in a way that is highly beneficial to the host nation. The immigration goals of most countries are to expand the labour force. This can be a good deal for countries as they can get an above average addition to the labour force without having spent the money to educate them. Certain countries are known for being difficult countries to become a citizen in: Switzerland and Japan come to mind. 

But citizenship is only a subset of immigration. Citizenship is a symbiotic relationship where the country becomes obliged to offer the foreign citizen the same rights as it does its natural citizens. Even Switzerland and Japan are very happy to have foreign workers to expand their labour force, especially if the countries offer nothing in return. There is rarely a good argument to not allow a foreign citizen to pay the government a lot of taxes, when the government has no obligations back to the foreign citizen. One argument is that foreign workers take the jobs of domestic workers. That is not true, and there is even a fallacy named after it. The Lump of Labour fallacy is to assume that the labour market is zero-sum - that one person being allowed to work precludes another. When women entered the labour force, there was no appreciable increase in unemployment. Governments are actively increasing the retirement age, not lowering it. And very few economists would think that reducing the hours of a work week is sound economic policy. By the same logic, immigration does not necessarily result in increased unemployment. And where supply of labor does not increase more than its demand, we do not need to worry about wages. Certainly, wages for a certain class may fall a bit, the wages for the average citizen will not be affected.

Using this as a theoretical base, governments therefore only need to at least compare the taxes it will receive from the citizen with the cost the citizen will cost for the nation. With the progressive way taxation works, a foreign citizen with an average equal to a domestic citizen will not contribute much in taxes at all (<$10k). Here the cost/benefit for the government is not entirely clear. One can argue that given the US is perpetually in deficit, that the average citizen is a negative contributor. Then again, the foreign citizen will not benefit from healthcare and social security.  This is not to say that we cannot have immigration beyond this criteria, but at least this criteria seems grounded in indisputable logic.

Then there seems very little incentive for countries to put any limit on foreign citizens who want to work and given they pay taxes above a certain threshold the government deems to be acceptable. As such most nations around the world have very lax policies when it comes to allowing foreign citizens to work.

Aesop Soap and Citrus Shortages - How the World's Best Soap is Smelling Worse

In July 2015, I purchased my first bottle of Aesop in Queen West, Toronto for C$57.63. The first shop in Toronto had just opened. I had been eyeing the bottle after many years of seeing Aesop at the world’s best restaurants; indeed Aesop cemented its image as the bougie soap of choice for the culinary elite. I would have bought it much earlier had it not been for rules on transporting liquids on skyliners. The price was excruciating but rationalizable, I did not buy another one for a year since it lasts long. I often refer to it as the most ostentatious material purchase I make. If that were the case, I can sleep at night.

My attachment to the product is many fold. The scent is at the core. Scents bring back memories. Although my recollections are not specific, the smell of Aesop soap places me squarely back to my globetrotting days before working life. Aesop makes two handwashing soaps. The more popular one is called “resurrection” which according to the label smells like Mandarin Rind, Rosemary Leaf and Cedar Atlas. The distinguishing scent is the Mandarin Rind, which is the perfect mix of sweetness and acidity. The rosemary and cedar are afterthoughts, though important for the overall balance. The quality of the product can be indeed judged by this balance. I compare it to a great wine, where the fruit is balanced by the oak aging and secondary flavours, and where sugar is balanced with acidity.

The importance of this product extends beyond memories. The soap added to experiences with friends that I had not seen in ages and is often a topic of conversation. Some friends I have gifted the soap to share it with their housemates but most of them cherish it for their own use. They limit their use to small beads, as if it were the last of its kind. The hope is that when they smell the soap, that they think of me. Pretty good for $40.

A few months ago, I was running low and purchased two bottles from Nordstrom online. I had not opened them until recently. On the first use, the scent hit me as unexpected. I didn’t think much of it at the time. The second time, I grew skeptical. I had an almost finished bottle from a previous batch to compare it to and the differences were clear. The new version had suppressed the Mandarin Rind smell, and accentuated the two secondary flavours – the cedar and the rosemary. It smelt like an over-hopped IPA (what most trendy “craft” beer tastes like, which deserves an article of its own) or an over-oaked chardonnay. When the base product fails to be elegant, more pungent smells are needed to override it.

Aesop is a high gross margin product with strong pricing. But for some reason, it has chosen to reformulate down instead of raising price. The list price for the hand wash has stayed at $40 since 2015, when I first bought it, even when the raw materials in the product have inflated materially. Citrus is one product that has faced significant inflation. The world’s largest producer of artificial citrus (citral) had a fire on Oct 31 and is still trying to ramp up its plant (https://nutrition.basf.com/en/Citral-plant.html). Linalool, which is an ingredient listed on the label, started back up in May.

Upon visiting a store in Manhattan, the test sample was fine. But the bottles for sale were tainted. It turns out that the sample was made in 2016. After smelling more and more bottles, it was clear that the ones dated Sept 2017 were acceptable whereas the ones dated Nov 2017 were not. I would guess that this is not a coincidence.  

I am disappointed that the company reformulated down without any indication that it did so. In some ways, it is preying on consumers that cannot tell the difference. For those consumers, one must wonder if they should be buying the product in the first place. I myself wonder if I need to reconsider my attachment to the soap. Perhaps I would have missed the difference in a parallel universe. Perhaps I would not have the conviction if I didn’t have some of the previous soap lying around.

When I search this online, I wonder why I’m the only person writing about this. Now that the citral supply is returning, we shall see if Aesop returns to its previous formulation. But if you are a pessimist you would ask why they would, given absolutely no backlash. If it comes to this, perhaps a new soap source needs to be considered. And there are many.

Note: when buying Aesop resurrection, make sure that the last four digits on the back (bottom right) imply a date pre Oct 31, 2017. For example, 0917 and not 1117. That will make all the difference. 

 

IMAGE.JPG

The Secretary Problem

We had mentioned once previously that statisticians think, as it relates to dating, that to be optimal, one must be prepared to be lonely 37% of the time. Here, I was citing the secretary problem without understanding it at all.

The problem is given n candidates, how do you maximize the probability of marrying the best one when you must date the candidates in sequence. Your only options are to pass or to marry. You do not know what the maximum score a candidate can have – in fact you have no idea what the distribution of the candidates is at all.

The simplicity of the solution is largely dependent on the fact you know very little. Because you know nothing about the distribution, and you cannot infer anything about the distribution from the candidates already dated, the only possible strategy is: at point p, the % of candidates already dated, you accept the next potential winner. [Note 1]

Assuming you use this strategy, what is the likelihood of choosing #1 to marry? If #1 occurs < p, then you lose. If #1 > p, and #2 < p, then you win. If #1 > p, and #2 > p and #3 < p then you win if #1 occurs before #2 (probability = 1/2). If #1 > p, and #2 > p, #3 > p and #4 < p then you win if #1 occurs before #2 and #3 (probability = 1/3). And so on.  Writing this out in probability form, we see that the probability of winning is

This expression simplifies to (this is not obvious, but it is a commonly used Taylor Series)

P is optimized at p = 1/e. The best outcome is P = 1/e. So, in fact, you are rather unhappy at 1-1/e (63%) of the time. That’s a lot of the time. Since ~50% of marriages end in divorce, this model appears to have some consistency.

It is likely that in real life the maximization function is not to maximize the probability of marrying #1, but also be fine with, say, the top 3. Let's assume you use the same strategy as before. This isn't the optimal strategy, but probably not too far from the truth. P takes the following form:

The optimal stopping point is ~0.26 and P is 0.59, which is much more satisfied. [Note 2]

But the other reason why people can do better than even 0.59 is that from experience, they can begin to understand the distribution from which candidates are drawn. Let’s assume that this time, there is a known maximum. In fact after some dates, a likely maximum of a set will become statistically meaningful to estimate. An estimate of about (current max)*(n+1)/n  would at least be unbiased, if not statistically meaningful.

Without the loss of generality, let's assume candidates are drawn from a uniform distribution [0,1]. That means if you meet a candidate that is 0.999, even if it is the first person you meet out of 100, you would probably marry him or her [Note 3].

Given x, the most recent maximal point, and n, the number of future draws, we can see the probability of winning if you choose to marry here is x^n. The probability of winning if you choose to pass is more complicated. Of the remaining n draws, one would expect to draw m candidates superior to x with a probability of distribution of binomial. Similar to the last problem, you win if #1 is the first one drawn thereafter, which happens with a likelihood of 1/m [Note 4].

From this point on, the math turns funky, difficult and often not solvable without a computer. This equation, for example, is not solvable but we can approximate it in the limit accurately: x = n/(n+0.8043).  If you draw a number greater than x(n) on turn n, you should marry. The probability of winning pursuing this strategy is 0.580164 for large n , which is a lot higher than 1/e. [Note 5]

 

 

Book: https://www.amazon.com/gp/product/0486653552/ref=od_aui_detailpages00?ie=UTF8&psc=1

Paper:  https://link.springer.com/chapter/10.1007%2F978-0-387-44956-2_22

Note 1: Is it clear that this is the only possible strategy? Since the historical data is irrelevant, the only variable appears to be p. This isn't hard to convince yourself of.

Note 2: This is clearly not the optimal strategy because if you got to the last draw, and you drew #2, you would take it. 

Note 3: Note that we are effectively assuming a uniform distribution [0,1] but we don’t lose any generality here since every distribution can be mapped to a uniform one (this mapping is at the heart of the Gaussian Copula).

Note 4: There is a small logical leap here. It is not clear that just because the local maximum is being satisfied that the global maximum is being satisfied. But you might notice that as you wait, your chance of winning goes down. So in this case, what you would have accepted at time a, you certainly will accept at time b. Perhaps this point requires no explanation at all since it is all too well known for people in the dating market. Put another way the "decision numbers are monotone decreasing".

Note 5: One important simplification is consolidating n!/(n-m)! to n^m, which is true in the limit (used in the Poisson approximation of Binomial, interestingly).  That leaves what looks like a Taylor series in terms of a = (1-x)/x. It appears this step requires a computer since it cannot be simplified. An excel spreadsheet can tell us that a = (1-x)/x = 0.8043, so then it tells us that x = n/(n+0.8043). The probability of winning is, also, unsolvable and requires a computer.

 

Settlers of Catan Probability: How many resource cards to get victory point?

Settlers of Catan asks its players to understand a bit of probability. For example, players generally understand that the “number of dots” is related to the probability of rolling the corresponding number on a pair of dice by a constant factor such that the number of dots is additive. Another topic that has gotten some attention is the expected number of resources required to draw a victory point from development cards. There is a large variance on what players expect it to be, and most of them appear to be incorrect.

To avoid explaining the gameplay, we will use the analogy of how many draws it takes to draw an Ace from a normal deck of cards.

With replacement, the answer is simple. It is 13 as you might expect. You draw it with a 1/13 probability, so it will on average take 13 draws. To prove this use recursion (i.e. X = 1 (1/13) + X (12/13) where X is the answer we need).

Without replacement, the answer is more complicated. The easier approach is approximation by a continuous case. Assume X1, X2, X3, X4 are independently and uniformly distributed between 0 and 1, which represents the position of each of the cards. The CDF that max (X1, X2, X3, X4) < X is simply X^4, which has an expectation of 4/5. That tells you that the approximation of the case without replacement is 13 * 4/5 = 10.4. An excel approximation would tell you the answer is 10.6 which is really quite close. You will find that the more cards are added to the deck, the closer we begin converging to the 4/5 number.

Now, the actual solution without replacement. We need to visualize the deck of 48 non-Ace cards in a circle. We then need to envision these 48 cards split up by the four Aces and the one “cut-of-the-deck” (the starting point). It should be fairly clear that all arrangements of the 48 cards + 5 cuts are equally likely (indeed this is the definition of what statisticians call the hypergeometric distribution). But effectively, when you split 48 cards with 5 cuts, the average distance between any two cuts should be 48/5 cards (see comment below for discussion). Adding in the fact the 2nd cut is a card in itself, the answer is 48/5 + 1 = 10.6.

Taking this back to the Settlers of Catan example, we calculate that it takes 5.2 draws or 15.6 resource cards to get victory point, which some people would view as too high of a cost. (I.e. it is neither the 12 nor 18 cited by certain literature).

 

Further Discussion:

When you split 48 cards with 5 cuts, the average distance between any two cuts should be 48/5 cards. This is actually not entirely clear but you can probably convince yourself of this. When you do linear transformations such as divide 48 by 5, you are implicitly assuming independence between events. The reason the "with replacement" problem is so simple is because since each draw is independent, we can simply divide 52 by 4. However, when we changed to a "without replacement," this was no longer possible since each draw became dependent of one another. This is why the problem needed to be reformulated where the scenarios we imagine all happen to be independent of each other.

A lot of the analysis that is seen online is wrong because it either considers the draws to be with replacement. Another analysis we had seen was the "median" is 12 resources. Although medians are a useful measure of an average, it is not what the question is asking for. Because the number of turns has a long tail, although you are just likely to use fewer than 12 resources as you are to use more than 12 resources, there is a also a 25% probability that you will need more than 24 resources, which is a real cost that needs to be considered. 

I find it interesting that the adjustment factor of going from with to without replacement as being 1/(n+1) where n is the number of aces. Mathematically, it is created by the integration of x^n. Visually, we can think of it as dividing up a deck card with the n aces and extra "cut of the deck". So the difference between with and without replacement is effectively the fact that we need to specify a starting point, resulting in the +1. 

Germany intellectualism in the 20th century

The early half of the 20th century was dominated by the German contest for Europe. The cause, in its most reduced form, was overwhelming strength of the new empire, formed in the late 19th century (this one country effectively fought the entire world and almost succeeded). The wealth of nations took fairly substantial turn as the modern economy and its intellectual advances allowed smaller nations (lacking in population and natural resources) to overwhelm larger but less sophisticated nations (Germany vs. Russia, Japan vs China). For this reason, it is important to notice the relatively unexplored importance of German intellectualism in its war for domination.

We will begin with the most famous German intellectual. Einstein was a pacifist and communist,  and therefore had little to do with the German war machine. Yet his life provides an interesting view into German warfare because of a rather coincidental timeline of events. Einstein’s Anno Mirablis occurred when he was 25 and in the year 1905. This was a decisive year in pre-war Europe as it was here that Russia lost its war against Japan, despite having the largest standing army. The disaster shifted the concept of European balance of power and eventually led to the formation of alliances that pulled all of Europe into war. At the time, Einstein was working at a patent office in Zurich, but his four papers (any one of which would have made a scientist’s career - he proved the existence of molecules, invented quantum mechanics, conceived special relativity, and equated mass and energy) resulted in his invitation to the Prussian Academy of Science, which at the time was no doubt the most influential body in science. 

Einstein’s contemporaries were many, and together made up the majority of scientific thought at the time. That is to say that the world of science in 1905 was German. That the Germans ran the scientific world a hundred years ago is for whatever reason difficult to imagine and is for some reason little discussed. The German intellectual has not received the same time of day as the French philosophe or the Viennese School of Music. Today, science appears to be eminently the domain of Americans and their prestigious universities, probably because today, innovation is a highly American phenomenon. That was not so a hundred years ago. The Americans of that time had a lot of businessmen and seemingly no intellectuals. In Germany though, in a very small segment of space and time, we had: Haber, Schrödinger, Heisenberg, Hilbert, Planck and so on. One could probably call this the old silicon valley, where network effects helped speedy innovation.

The intellectual flowering of Germany was both a result of its newfound strength, and at the same time contributed to it. The nature of the first world war can be most aptly described by runaway technologies. The speed of these technological changes also means uneven ones. Offensive technologies outpaced defensive and mobility technologies, resulting in a never foreseen form of trench warfare. An infamous German technology developed by a member of the Prussian school was that of the chlorine gas was significant increase in the scale of offensive weapons. The same man invented the modern day nitrogen fertilizer.

Einstein was staunchly apolitical at the time, which made him a pacifist by comparison. His relationship with Germany was one of convenience at its best. He believed in science for science’s sake, which was sometimes at odds with his colleagues. His theories were in the field of theoretical physics, which at the time had no applications and so could not help Germany in the war. Inter-war extremism branded his theories as “Jewish” (intellectual) and at odds with “German” physics which were grounded in reality. It should be noted that Einstein never did win a Nobel prize for General Relativity, though it was widely popular and accepted, even in its nascent form. 

An amusing intersection between Einstein and the wars was when upon seeking proof for the General theory, a few of Einstein’s representatives needed to take measurements of an Eclipse seen from Russia. His German associates were on a train the eve of the war declaration, and looked fairly suspicious trying to smuggle scientific equipment (including a camera) into Russia. Good thing war as it started was still a gentleman’s affair and resembled earlier wars as opposed to the total war it turned into. The representatives were sent back safely, though no measurements could be taken of the eclipse. In hindsight, the misstep was a boon for Einstein as his equations needed to be amended. A subsequent measurement confirmed Einstein’s equations. 

The First World War ended with the average German not knowing that he had actually lost, except for the article on the Treaty of Versailles he read. From there, a theory of being stabbed in the back by Jews arose and they were scapegoated for for the economic disaster for the early 1920s. This platform was used by Hitler to gain power, and subsequently resulted in Einstein’s fleeing to America. In America, he reluctantly helped to develop nuclear warfare. Why the staunch pacifist would help is not entirely clear, though his involvement was limited.

War clearly spurs intellectual development and intellect wins wars. Although Eintstein had little to do with the eventuality of either war, his class was potentially the most influential group of people in the first half of the 20th century, effectively engineering Germany’s bid for European dominance. As the French Enlightenment cannot be detached from the Napoleonic Wars, the Germany Enlightenment cannot be detached from the Wars for German dominance.

Ultraviolet, the most exciting thing in food

Ultraviolet, Shanghai, 2-star, 41st best restaurant in the world

 

The Paul Pairet (Mr. & Mrs Bund) immersive experience ferries patrons to a residential neighborhood 15 minutes northwest of the bund, and then proceeds to shock them with food as performance art.

It has been a rather hard go at blogging lately as it is highly time consuming and time is particularly short these days. But this is indeed an experience that is worth a length discussion. Ultraviolet might be the most important thing in gastronomy today. It is the closest food has come to pure art. The measures of its success are ill-defined because there is nothing that is comparable today. So the only measure that we can safely measure it on is how much happiness it creates in the poor patron who just had to fork over $600 (or $900 depending on the night) and waited for it for months on end. The verdict is that of extreme contentment. The experience is much more than food, which means that the taste of the food, though spectacular in its own right, is not always in focus. Instead, the trickery, role playing, atmosphere, humour provides the direction.

The night begins on the Bund, at Pairet’s famed restaurant Mr. & Mrs. Bund (see Shanghai guide for review). Festivities begin a little before 7pm, at a large table in the middle of the grandiose restaurant. The premise of the restaurant is well known by the 10 guests. You are to be shipped off to some obscure part of Shanghai. So now happens to be an opportune time to meet your fellow hostages. The seating mirrors that of later in the night. Two main characters are introduced.

Particular gratitude must be shown to the two hosts, both are the most convivial hosts in Shanghai. One is Vietnamese-French, speaks English with a slight accent and is always smiling. The Shanghai native also speaks superb English and walks with swag. The two probably have the most interesting job in food service. Both appear to have had healthy amounts of caffeine or something stronger in advance of service. The dinner party is predominantly Western; English is the operative language, though Chinese is overlaid if needed.

The extensive drinks pairings begins at the Bund - a fine dry cider that is funky like a good beer. It’s not at all overwhelming, the fruit muted. An amuse bouche to start the night is an exploding ball of french onion soup. The humor starts immediately, as the ball is placed on a gigantic spoon, as to signify that we have entered into wonderland and that things will no longer make sense.

A 15 minute bus ride whisks you to a residential area in the northwest. The audio-visual experience begins on the bus as a little screen pops out and shows an introductory video made of montages from old films set to Beethoven’s 9th. The secret location is not that secret, as I dutifully screenshotted on my phone. It is a dimly lit apartment building, or so it looks like. We enter through what appears to be a service door, distinguished only by the placards from the Michelin guide and Top 50 restaurants list. The casual onlooker would be fairly confused about what this random assemblage of people are doing in the dark corner of shanghai, at least until they see the two Michelin stars pasted on the wall.

Entering the complex conjures a surreal feeling, like entering into a haunted house. Maybe this restaurant is actually the front for some foodie trafficking organization. The actual complex is reminiscent of a paintball stadium - minimalist and brutalist: exposed pipes and concrete walls. The dining room has a large 10-person white-top table as the centerpiece. The table itself is an art piece. As you walk in, lights project your name at your place. Through the night helps create establish the scene, and create vertigo along with moving wall projections, or is more utilitarian, marking the spot the wine glass should be placed.

There are 22 courses, split into four “acts” (sea, land, Asia, dessert). None of the courses are cop-outs, they are each a course in their own right and worthy of discussion. The memorable dishes are described below.

The first dish of the first act “sea” is a fancifully prepared abalone (with its own theatrics); the result is a soft and chewy meat that is dipped into a perky yuzu sauce that paints the side of the plate.

The second dish is a shrimp-like crustacean called “carabinero” known for its distinctive red shell, which in this case was deconstructed and made out of lime and licorice. The shell is reminiscent of Chinese Haw flakes.

The third dish is a deconstructed scallop, the shell made of lime-sea snow foam that is cracked open with a spoon, half dissolving into the sea urchin, seaweed and scallop. The effect is a variety of temperatures and textures aligned by a common sea-like brininess. One reason the plate is memorable is the Beethoven piano sonata playing - the famous second movement from his pathetique. This being the second time Beethoven is featured, we might conclude that Pairet is a Beethoven aficionado when he is not cooking.

The fourth dish, the surfsurfturfturf, is a surprising pairing of foie gras with oysters. Foie gras shows it can essentially be paired with anything. On top is a cuttlefish skin, the second “surf” component. Below is a “sour jus” which I believe is supposed to be the second “turf” component. The dish is wonderfully balanced, with the sea tastes coming through despite the strength of the foie gras and jus. The pairing is the best wine of the night (and the only red), a blend of Monastrell and Cabernet from Jumilla, a bold bodied wine with some clear but well integrated oak (American and French).

The service is less service than performance art. It is usually a well choreographed routine. The most special is the first part of the second act “land”, when the table is cleared and almost magically is covered with a layer of artificial grass. The waiters layered two squares of grass below picnic baskets in which our first course sat. Between the choreography, music and projections on the walls, it was as if the grass had grown out clandestinely, right in front of you. In general the service is extremely well choreographed but they are also having a lot of fun. The dish itself is fun as you construct your own sandwich “a DIYABLT” (the “A” stands for aioli?). The picnic theme is classic (see Azurmendi, near Bilbao) and the eating out of tins is distinctly Spanish as well.

The second course is served in a clear plate so that the grass underneath appears like a part of lamb dish.

The most french dish on the menu is Pairet’s signature. It is a simple mix of bread dipped in butter “liquid bread dish” - similar with the San Francisco Saison dish, but with truffles instead of sea urchin. It is luxurious in its umami.

For the mushroom dish, servers use a flame torch to sear mushrooms that are growing out of a block of earth. Then it is seasoned, cut, and served to diners.

In the intermission, an old Paul Pairet dish (called “Can't Quit Foie Gras”) is changed from a cigarette to a cigar. Alongside a mushroom egg custard is served.

The first course of Act 3 “Asia” begins with some theatrics where a candle is cut to reveal what is effectively a sous-vide treated Black Cod, coated with lavender and honey. The fish is sliced and put on a plate which is also made of wax. The dish is simple and well constructed, the perfectly cooked slices of fish go well with a white creamy sauce and a dark vinegary sauce and some foliage on the side. Theatrics aside, the course might be the night’s strongest.

The theatrics continue, now transporting diners to Singapore - you see the Marina Bay Sands from the sea at night with boats circling around. A makeshift hawker stall has beef, watermelon, lettuce and rice, served buffet-style. The dish is served with a choice of English stout and Spanish blonde beer. Continuing on the theme, a stall with a hanging peking duck comes around. Perfectly cut rectangles of the Beijing-cola duck is served on a clip.

The desserts are, in general, undifferentiated versus other fine dining restaurants. One standout dish is the second dessert dish, which is entirely made by a lovely hazelnut tahine under an assortment of crunchy pieces so entitled a “wood forest”. Dried eggplant is especially additive to the taste profile (see recipe of a similar dish here).

The penultimate dish is another self-constructed one entitled “masterguest,” a play on the popular cooking show masterchef. A mango based dessert dish with all its components are placed in front of you, and a video with instructions is played. Guests have 3 minutes to replicate the dish. Most people end up with a complete mess that is then judged by the chef or maybe even Paul Pairet. A masterguest is crowned, and you eat your own creation (which tastes good regardless because the components are all excellent to begin with). Thus the evening ends in the kitchen surrounded by chefs and other guests.

Now, a bus takes you back to the bund. You leave absolutely elated, after five hours with nine other people and 25 staff. You’ve had probably the equivalent of a bottle of fine wines, and just ate 22 courses against its own storyline. You leave wanting to come back for the other two menus (UVA, UVB). You leave elated at the novelty of the experience, at the artistic effort the creators, at the thought of having experienced a lovely piece of human culture.

4000 RMB Tues/Wed, 6000 RMB Thurs/Fri/Sat (w/ better wine pairings)

The following menu is the third and most common menu being serviced - menu "C". The drinks are associated with the 4000 RMB price.

 

Abalone Primitive

Ash-Yuzu-Dill

Champagne Henriot, Cuvee Des Enchanteleurs, Brut, 2002

 

Carabineros de Huelva

Sand Shell

E. Guigal condrieu, 2013, Rhône valley

 

Very-Sea Sea-Scallop

Sea urchin - seaweed - lime-sea snow shell

Barco del corneta, 2014, castilla y leon, spain

 

surfsurfturfturf

Grilled oyster, cuttleskin & fois gras - sour jus

bodegas, el nido “clio”, 2013, jumilla, spain

 

Infusion

Allium Tuberosum Dashi Broth

 

Picnic Tin

D.I.Y.A.B.L.T

Tomato Basil Water

 

Pasturage

Green Grass Fed Lamb

Thierry Germain, Domaine des roches Neuves, saumure champigny, 2014, loire

 

Bread

Truffle Burnt Soup Bread

Domaine Jean Marc Boillon 2011, bourgogne blanc

 

Mushroooommssss

Light Textures

Domaine Jean-Marc Boillot 2011, bourgogne blanc

 

Intermission

Espresso Royale

Martell cordon bleu petit carajillo

 

Candle in the Wind

Lavender-Honey-Wax-Sesame Black Cod

Domaine matrot, meursault, 2013, cote de beaune

 

The Black Pepper Beef

Digestive Butter Lettuce

Samuel Smith Imperial Stout Beer, Inedit Birrifico estrella damm beer

 

Think

Lapsang souchong - a real cup of tea

 

Beijing-Cola Duck

10 years

plum & rice asia libre

 

Lunar Mushroom

pumpkin-nutmeg-grand-marnier-yakult

grand marnier slush

 

Wood eggplant

Hazelnut Tahine - Bread woods

Willet light bourbon whisky kentucky

 

No Peach Melba 

Raspberry Peach Chantilly

 

La Peanut

Nada…peanut…unecachete…bip

 

 

Trump and Transgender Military Ban

In the first half year of Donald Trump’s rule, we have stayed on the sidelines. We acknowledge that to date, the Facebook liberal has lost most of his vigour, now that he has realized that the world is not vastly changing, and because we have seen that Trump is more moderate and predictable than expected. The first half year has been unspectacular, which is a few grades higher than most Facebook liberals were predicting. Other certain potentially discriminatory policies have also been overturned, exemplifying the liberal institutions that still govern the society. 

I had written that I would call out anything problematic with the new administration, and so today we must discuss the transgender military ban tweeted by Donald Trump. The policy is clearly a discriminatory measure that is unacceptable in our modern society. It is acceptable to minimize costs associated with transgender people, and not create special exemptions for them, but to ban them outright is unacceptable. 

There are two arguments in support of the ban. One is that few people are affected. That argument works both ways. Discriminatory measures are often implemented little-by-little, slowly degrading a group’s freedoms, in order for the laws to be palatable. We cannot allow movement in that direction.

Another argument is that the military is exempt from forms of discrimination. This argument is supported by that transgender people were not allowed to serve in the military until June 30, 2016. In the grand web of discriminatory policies, this one is less problematic for this reason, but problematic nonetheless. But it should be clear that to treat transgender people differently in any part of society is unacceptable and this view is shared by most of the Western world (http://www.cnn.com/2017/07/27/us/world-transgender-ban-facts/index.html). 

This policy is different than the travel ban. The travel ban, although in effect is likely discriminatory, is not in principle. Had the ban been on all muslim majority countries, or had the ban been only on muslims arriving from those countries, then it would be discriminatory. The travel ban, in principle, is defensible as a nation has no obligation to the citizens of other nations. 

Although the transgender military ban is only a reversal of an Obama order from a year ago, it is still clearly discriminatory and unusual for the Western world. This policy needs to be condemned.

The Morgon not from Beaujolais, the natural biodynamic chard not from Jura.

At the newly minted speakeasy of a restaurant, Dinnertable, there is one excellent wine. It is a $80 Chardonnay from a Jura. A complete steal. It has the trapezoidal bottle shape of the Jura, and the yellow wax enclosure at the top. It is not vin jaune, but it obviously is not burgundy. It's somewhere in the middle. It wasn't likely to be burgundy if it was advertised biodynamic, all these other clues were only incremental. But of course the waitress insisted it was burgundy. The bottle came and in block letters, it read "JURA". I would have thought the issue was this was a hipster joint where service was the fun-loving beer-drinking liberal who deigned to know any wine region outside of the locality (by the way they had fewer than 10 bottles of wine). But then in Paris, the Mecca of wine, a server offered me Morgon, of which I replied "ahh Beaujolais", of which he disputed vociferously. Of course Beaujolais is one of the easiest wines to identify, and this Morgon tasted and smelt like Beaujolais, as most if not all Morgon is indeed Beaujolais. The exception is the random winery somewhere else who has a winemaker who happens to be named Morgon. 

State of liberalism: Macron's landslide win, Trump's 100 Days , Handmaid's Tale

It would be incorrect to view recent political developments as the peak of liberalism. In the world there are big cycles and small cycles, and today we are in a small cyclical downturn in liberalism but still clearly in a grander upswing. Despite the discontent of the Facebook liberal, we are still more liberal today than we were 10 years ago. The right wing today resembles the left wing of 20 years ago. The clear underlying trend for humans is higher incomes and higher quality of lives, which translates to a desire for more liberalism. This trend has more or less been intact for most of history. There are often unravellings of liberalism in short-term reactionary regimes, but they are small blips in the greater arc of human development. 

Nothing shows this more evidently than Macron’s landslide victory in the French elections. As has been shown throughout history, France was the birthplace of liberalism and has since been on the cutting edge of liberalism. It was France that was at the forefront of the revolutions of the 1800s, and the primary defender of the free world in the wars of the 1900s (if not particularly successful). France by most accounts created the European Union, which is why it was always unlikely it would leave. On a sad note, this is also the reason France is the most targeted country for terrorism. It is inspiring that a country which has dealt with three major affronts against liberalism in very recent memory has chosen to go the opposite way of the United States so decisively. As to extrapolate history, as long as France is trending more liberal, we cannot believe that the world is any different. 

A similar discussion occurred at the Roy Thompson Hall betweenNiall Ferguson & Fareed Zakaria, and it is clear who the winner is. https://www.facebook.com/munkdebates/videos/1508298059182692/

I will now comment on the recent developments in the United States. The lengthy battle ensuing over Obamacare, a legislation decried by republicans who control all facets of government, further shows the strength of the liberal order. The Facebook liberal has lost most of his vigour, now that he has realized that the world is not vastly changing, and because we have seen that Trump is more moderate and predictable than expected. I had written that I would call out anything problematic with the new administration. The truth is that the first 100 days has been unspectacular, which is a few grades higher than most Facebook liberals were predicting. Other certain potentially discriminatory policies have also been overturned, exemplifying the liberal institutions that still govern the society. 

 

Hulu recently made Atwood’s Handmaid’s Tale into a television series. The show has been such a success that it has already been renewed for a second season, despite there is Atwood does not have a sequel book. The series has been considered to be “timely” as it is set in a dystopian society that is sexist and homophobic. These comparisons to modern day United States are laughable. A more interesting fact is that apparently Toronto makes for the perfect dystopian setting, and the Toronto City Hall is the epicentre http://www.atlasofwonders.com/2017/04/the-handmaids-tale-filming-locations.html.

All of this is to say that liberalism is congruent with human development, and so the broader trend is better lives and more liberalism for everyone. In the past 30 years, the beneficiary was more likely a Chinese labourer than an American labourer, but that is because the American labourer started at a higher base. Another important concept is that politics does not lead society, but rather the other way around. It is economics and morality that create the politics, and so anything that happens politically is a mirror to reflect in. If it wasn’t clear before, the image the French see in the mirror is better than what the Americans see. 

Rediscovering the Randwalk

It was over 7 years ago that I solved a problem for my International Bacclaureate extended essay. The problem is as follows:

3/4/20. A particle is currently at the point (0, 3.5) on the plane and is moving towards the origin. When the particle hits a lattice point (a point with integer coordinates), it turns with equal probability 45° to the left or to the right from its current course. Find the probability that the particle reaches the x-axis before hitting the line y = 6 USA (Mathematical Talent Search).

The fact that I even wrote the essay in mathematics (instead of history) is surprising since I had attended an Upper Canada College class on writing extended essays, and I had already figured out the crux of my history thesis: that the Byzantines were undone by economic stupidity. But my last year in high school was an important year for me in math. Although I took no formal courses in it, I was invited to write the Canadian Math Olympiad, which despite having flunked, placed me in a fairly small group of people.

I always had a fascination with probability and the problem above was the most interesting I had seen. Unlike many difficult problems in mathematics, the problem was down to earth. You could write a program that drew the pretty graphs, and you could run it enough times to find the approximate answer. The analytical solution was interesting as well, requiring for a few non-obvious equations to be written and solved. 

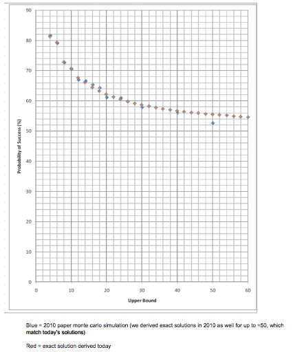
The real intrigue though has to do with patterns. Mathematicians are obsessed with patterns. The computer program showed that there was an oddly kinked curve for the general solution (the solution for the particle between y=0 and y=N). It appeared as though the solution was smooth on an interval of 4, but non-smooth on an interval of 2. Furthermore, it became quite clear that the solution was asymptotic to 1/2, but the path down to 1/2 was not fitted to a simple function like an exponential function. 

In 2010, the paper that was submitted to the IB program for grading did not find the reason for the non-smooth nature, at least not mathematically (subconsciously, I think I knew what the reason was, though I never spelt it out in the paper). What I presented was a method for solving the problem using N - 1 linear equations. This is also not obvious and at the time provided precise analytical solutions (non-simulated) for every N but a computer was needed to take inverses of large matrices. I had always known that the answer was incomplete. In the original essay, I wrote that “our current method has a heavy reliance on technology. In the future, I’d like to explore to find perhaps an even more direct method of attaining the answer.”

The following year, I wrote the paper Skunk which was also based on probability with my professor. Even then I was wildly curious about this problem that I had left open from the previous year. I had tackled it with Gaussian elimination, a new concept at the time, but no headway was made. I even sent the 2010 essay to my professor to see if he had any ideas. I am unsure if he ever read it. During Christmas of 2012, prior to leaving for Paris, I once again tackled the problem. By then I had learnt the key mathematical theories of undergrad but still could not figure out the problem. 

The breakthrough occurred in the last month. I had been trying to revisit some old problems, including the old COMM 341 case which I recently published on my blog because of its connection with airline overbooking. The key observation was that the problem could be reduced to a recursion with a static number of terms for every N. In other words, one could reduce a problem with N - 1 variables into 4 variables, no matter how big the problem was. The math required to do this should have been obvious by 2012, but it took until 2017 for it to show itself. It took a few days to work out all the numbers, including one night that involved girl issues (not mine, for once) and GMAT preparation (also not mine). But the equations revealed an answer. It is still unbelievably complicated but it can be written down by hand. The answer does not become more complicated for higher N, which is an important quality for a good answer. The answer also had different equations for odd and even N/2, which explains the pattern from 2010 that the curve was smooth on intervals of 4 but not 2. 

The significance of this problem is that this is the reason for the title of my blog (not because of the movement of stock prices, though they’re all random walks). See http://randwalk.com/about-this-blog/ for some lovely computer generated images. Unfortunately the solution is still not simple but it is unclear if a simpler expression can be formed. 

To see the original essay: www.randwalk.com/s/Extended-Essay-42.pdf

To see the new essay, please contact me.

The Economics of Overbooking / Revisiting an Old Case Competition on Production Optimization

The economics of overbooking flights have earned international renown recently because of actions of a certain airline. The reason airlines overbook flights is because the economics are attractive. The result is lower prices for non-refundable flights: people who miss flights subsidize those that make it. The strategy has cost in proportion to E(max(D - X),0) where X is the number of seats in an airplane and D is the demand. We have found that for a normally distributed demand, the average overbookings  or E(max(D - X),0) is given below:

For an airline, the distribution of "D" can be determined by the number of tickets they sell. Assuming each customer is independent of one another, the distribution of D will be N(px,sqrt(p(1-p)x)) where p is the likelihood a customer will show up. You can replace mu with px and sigma with sqrt(p(1-p)x) in the above formula to find the average overbookings. The cost will be proportional by a factor c. Thus the optimal number of overbooking will be when the derivative of cE(max(X – D),0) is equal to the ticket price, which I have neglected to calculate because it is too tedious. 

Why is it so complicated? Like the COMM 341 case below, the company knows and/or controls the demand function and has production/seat constraints. So the standard critical ratio method cannot be used.

---

Our COMM 341 case competition was on Sport Obermeyer which made products with uncertain demand in two batches. Over producing would result in a cost of 8% of price; and under-producing would result in a cost of 18%. Thus the most obvious solution is to produce each product to the 75th percentile Cu / (Cu + Co) of demand, and split that quantity into two.

However, while performing the case we realized that the uncertainty of demand occurred only prior to the first batch whereas by the time of the second batch, your estimates were significantly more accurate (See Exhibit 5). Knowing this, we tried to provide a different answer than the standard one. Assuming that by the second batch, you knew demand perfectly (which according to the scatterplot is a fairly reasonable assumption) your only risk for the first batch was to over produce (if you under-produced, you would simply make it up in the second batch). So the solution was in the first batch produce the products with the least variance and the least cost of overproduction.

At the time it was known that we needed to minimize the sum of 0.08P*E(max(X – D),0)) across all products, where X is our first batch production, D is the random variable for demand and P was the price. Unfortunately, at the time, we did not find a way to calculate this quantity in excel, and so instead we minimized P(X>D) across all products. This is clearly wrong but closer to the truth than the standard answer. Unfortunately we lost the case competition because of this.

It is quite a shame as at the time, I was unaware that a conditional expectation of a normal distribution could be taken. In fact, when I solved a problem such as E(|Z|), instead of simply writing out the expression and integrating, I would indirectly approach it through a chi-square distribution (since |Z| is quite elegantly the root of Z^2, which is the Chi-square distribution). But now knowing that you can simply integrate a normal distribution to get to a conditional expectation, we find that

(the similarity to the black scholes model is not coincidental)

When this quantity multiplied by the price is minimized using solver, we find an answer that is not entirely different than what we showed in our presentation 4 years ago. Unfortunately, this new discovery was not able to overturn our loss.

PriceC_oC_uCu/Average ForecastStandard Deviation3rd yearToday
    (Co + Cu)  First OrderFirst Order
Gail1108.819.80.751,017194588686
Isis997.9217.820.751,042323405507
Entice806.414.40.751,358248838974
Assault907.216.20.752,5253401,8631,978
Teri1239.8422.140.751,100381381430
Electra17313.8431.140.752,1504041,4001,378
Stepahnie13310.6423.940.751,113524212173
Seduced735.8413.140.754,0175563,0793,181
Anita937.4416.740.753,2961,0471,9361,594
Daphne14811.8426.640.752,3836971,2981,099
Totals    20,001 12,00012,000

Buying vs. Renting

Owner-occupied property is propped up by a government-sponsored transfer pricing scheme, one that even sophisticated buyers do not realize. Suppose you purchased a profitable Evian water bottling business for $100,000. Then instead of selling the Evian waters to the public, you drink all of it without paying the company. The company’s profits go to zero so its taxes go to zero. You as an individual benefits from all this free Evian water (the return on the $100,000) but you don’t pay taxes on that return because there’s no cash transaction to tax. This is effectively what happens with owner-occupied property. Since you do not pay yourself rent, a significant amount of tax savings is due to owner-occupied property. 

In Canada, owner-owned property income is not taxed but mortgage interest cannot be written off. The result, mathematically, is that the before-tax yield becomes your after-tax yield. 

In the United States, mortgages are tax deductible despite having no rental income to deduct it against, meaning that although the unlevered yield increases by the inverse of 1 minus the tax rate, the cost of debt remains constant. This often has the effect of drastically improving the after-tax levered yield. A cap rate of 3.0% and interest rate of 3.5% results in a levered after-tax return of 8% assuming 80% leverage and 50% marginal tax rate, which is excellent compared to market alternatives. 

The government’s obsession with property ownership has allowed for an unbelievably distorted market. In the example above, even though the unlevered yield is 50bps below the corresponding before-tax interest costs, levering 80% up results in a return that is twice the historical equity market return.

Without a view on price appreciation, buying is optimal when the levered yield is stronger than alternative investment options. This result makes most buying vs. renting decisions quite obvious in the US. The risks to this strategy include changing government regulation and relocation.

 

 

 

Normal Business

Canadian Owned

US Owned

Before tax Unlevered Yield (aka cap rate)

3.0%

6.0%

6.0%

Before tax Cost of Debt

3.5%

7.0%

3.5%

Leverage

80%

80%

80%

Before tax Levered Yield

1.0%

2.0%

16.0%

After-tax Levered Yield

0.5%

1.0%

8.0%

 

 

 

 

Tax Rate

50%

 

 

 

Normal Business

Canadian Owned

US Owned

Before tax Unlevered Yield (aka cap rate)

3.0%

4.6%

4.6%

Before tax Cost of Debt

3.5%

5.4%

3.5%

Leverage

80%

80%

80%

Before tax Levered Yield

1.0%

1.5%

9.1%

After-tax Levered Yield

0.6%

1.0%

5.9%

 

 

 

 

Tax Rate

35%

 

 

Academy Awards 2017: a collection of stories about the poor and disenfranchised

The 2017 oscar nominations are incredibly dull. The line-up probably has not been worse in recent memory. As you go through previous year’s films, you will find a usually diverse group: distinct stories in different times told in different ways. This year, many of the films blend together. The primary story of 2017 is that of the downtrodden dealing with their frustrations. The 2017 protagonist is a poor, discriminated man with a bad childhood, who the audience is supposed to feel sorry for (but not entirely, because that would be too cliché). It is uninspiring to watch, unimaginative for the viewer, and ultimately unsatisfying. Because these films do not have plots, they always end unexpectedly, without much closure or catharsis. The intellectual payoff from two hours of intellectual pretentiousness is unrewarded. The perfect example is Fences, which is a conversational epic on the life of a poor, black man who builds a fence despite not having anything worth taking. The film is most respectable for a few excellent scenes with good acting (it was originally a play). But it ends up chronicling one man’s every vice and folly with seemingly no focus. Unfaithfulness, mental illness, feminism and racism - all the hot topics of the day seem to make an appearance. In Moonlight, a man deals with being poor, black and gay. In Manchester by the Sea, a poor janitor from a poor little town deals with the past. Hidden figures is a sputnik-era story about discriminated black women.  From a few decades prior comes to the story of Hacksaw Ridge, on a pacifist WWII hero. From the modern era, Lion is about an Indian searching for his long-lost poarents, Arrival is an intellectual's Independence Day, and Hell or High Water is about an unlikely duo of poor bank robbers. The role of parent-children relationships play a significant role in many films: Hacksaw, Fences and Moonlight showcase how bad parents leave an impression on children; Arrival, Lion and High Water have "responsible" or protective parents as major narratives. The best film among a bunch about first world problems is the one set in the third world: Lion is thoroughly uplifting  despite being a story of extreme misfortune. Of course in a field of sombre and cerebral films, it won't be surprising if the Academy picks the one I need not mention, the crowd-pleasing, straightforward, bundle of pure joy.

Donald Trump has consistently been underestimated; now he is being underestimated as a leader.

Taking Donald Trump to have set a goal of winning the presidency, his actions can be explained by rationalism.  The narrow margin by which Donald Trump won against a disgraced, unrelatable candidate lends credibility to the theory that Donald Trump executed a well thought-out plan in order to ‘steal’ the presidency. One must ask themselves if there is conceivably another path to the presidency aside from that undertaken by Trump. On the Republican side, there were 16 other candidates, each of whom had a higher chance of winning than Trump. Each represent a strategy that Trump could have taken and lost with. One prime example is John Kasich who certainly had the experience and temperament to be President. Such a strategy would have failed. Now consider the general election. Trump did not have traditional supporters such that it is quite inexplicable and unprecedented what he achieved. And that he won on such narrow terms, losing the popular vote in fact, suggests that any less rancour could have lost him the presidency.

The only thing that is more surprising than Donald Trump’s rise to the top is the continued uproar from intelligent people, many who turned into writers on the topic. To begin, notice that the markets which has been widely afraid of the Trump presidency has effectively given him a pass. That a motion passed by the poor and uneducated could line the pockets of the capitalists is rare. So we begin Trump’s presidential days with a highly positive result. I remind you that Donald Trump has consistently been underestimated; now he is being underestimated as a leader. To believe that someone who was able to win the election of the United States is incompetent is more a statement against democracy than is against the man. Every indication so far since his election has been positive and supports the theory that Trump will be a reasonable president.

Now we must discuss briefly the major issue of most intellectuals with Trump: his apparent racism and his apparent sexism. Part of the discussion here needs to be in the context of the first paragraph - whether Trump could have been elected on a different platform. The other part, which I will easily concede, is that it is unacceptable to be sexist or racist. If Trump introduces racist or sexist policies, which he will not, his presidency will be quickly invalidated. I will quickly write a blog post condemning such policies. To be clear, I also believe in the same socially liberal views that most of my readers will, and I believe Trump will support these measures more than other Republicans. On the issue of racism, it is important to recognize that the United States has the worst race relations in the first world, created by a large contingent of minorities that never had the choice to come to the United States. Be certain not to flip causation: it may have been inherent racism that elected Trump, it is not Trump that created such racism. I am not supportive of potential increased public racism because of Trump, but be reminded that the racism existed anyway. That it is more evident today should be an opportunity to create measures to address it. In any case the Trump victory in fact had little to do with racism: the same racism existed when Obama was elected and more Latinos and Blacks voted for Trump than for Romney. As for sexism, concerns were largely outside of the political sphere. That is not an excuse for such comments but we will hope that they do not continue in his period of public office. Trump polarized the electorate by racial and gender lines, thus revealing the divisions in the nation. He did not create it nor did he exacerbate it from an underlying perspective. To accuse a candidate of that prior to his taking office is too harsh. 

This is hardly supportive of Trump’s actions, but we must consider that he acted in a certain way to achieve the goal of presidency. The market and the electoral college has approved him as president. It is time that the intelligentsia give some credibility to the half of electorate that voted for him, lest they attack democracy itself. If he ruins the trust of the electoral college and market, that should be in the next article, not this one.

Two Observations on Racial and Cultural Divide in the context of Recent Global Violence

The Bastille Day attack on Nice is a significant affront to the society we know and love. Similarly, in January 2015, the French satirical publisher Charlie Hebdo was attacked for defending the right to free expression, practicing a cultural tradition from at least as early as the French Revolution. This revolution, despite its flaws, formed the basis of western modernity and the values we hold dear. Bastille Day commemorates the storming of the Bastille, which is the universal symbol for the start of the French Revolution, and therefore, the start of modern world. At the time, the revolutionaries were campaigning against the entrenched traditionalists who held Europe back from modernity. Today, the foe is the same. It is not a surprise that the most attacked western country is also its most progressive historically and still highly progressive today. It is also one of the most saturated with foreign citizens who, unlike many in America, were not forced to live in France. They had the choice to never live in France, and now they can live anywhere else in Schengen. 

It is important to remember that a host country has no obligation to its foreign citizens that it does not owe its original citizens. Host nations especially do not have any obligation to the cultures of their foreign citizens. Symmetrically, foreign citizens choose the nation that suits them the best and they are not beholden to any particular one. Non-original citizens have a right to self-expression and freedom as original citizens do but they do not have the right to change the value system of the original constituents. And in the case that foreign citizen values are in direct contravention of those of original citizens it is clear that those of the original constituents have precedence. 

Foreign occupiers of a host nation unlike those born in the host nation are generally there on the goodwill of the host nation. Many host nations provide privileges above basic human rights and these privileges are given in exchange for good behaviour and contribution to society. Crimes committed by foreign citizens are therefore a greater contravention of reciprocity than if they were committed by people forced to live in a country by birth. This point adds considerable disgust to the recent attacks. 

I will now comment on the racial situation in the US. The US is particularly special in that many of its foreign citizens did not in fact choose to be in the US, and so a certain amount of racial strife should be expected. The US practices self-imposed, new-age, racial segregation. The attitude toward race is a blend of cultural oversensitivity and lack of racial awareness. The symbolic equivalent is the logical jump from wearing a sticker supporting breast cancer to having a genuine concern for breast cancer. Wearing sticker has no cost to the wearer; concern has costs. The American conversational realm provides the strongest evidence. Race is avoided.

Cultural sensitivity is overwhelming in the US. People are unable to differentiate between a comment that is simply related to race and one that is unkind to a race. I will provide an example for illustrative purposes. A joke that a Mongolian is good at riding a horse is not rude. It is a generalization of something that is probably true on average based on history. It does not demean the race or "boil down the race" as that is not the logical implication. Nor is it overtly a negative comment. It says that a Mongolian is good at riding horses. It does not say that horse riding is all a Mongolian is good at. The latter would be racist, the former is a generalization that is understood to be strictly incorrect but appropriate in the context of a hyperbole as jokes sometimes are. 

The racial problem in the US is widespread. Congregations are almost always one-race. There is limited interracial interaction. This is not apparent to people in the system, but obvious to outsiders. Every facet of life - school, government, work - is laden with race-based special interest groups. These groups are allowed to exist independent of each other with little diversity in thinking. Groups like these were derided and made fun of in Canada. They are encouraged and commonplace in the US. There is a widespread belief in the US that association by some commonality determined at birth is reasonable and powerful when recognized. Instead it is divisive and a suboptimal allocation of association. Race divisions occur when we stop having conversations about whether artificial lines should be drawn. Yet the fear of appearing racist often shuts down any such conversation.

A lively conversation on race and segregation cannot stop. Many of the acts of violence in the US and the world is clearly linked to this issue, and some of them are indirectly linked. The solution might be learn to take a joke.

The Last Frontier of Discrimination

How racial enlightenment ironically resulted in greater disadvantage for certain groups

Since the civil rights movement, interracial marriage approval rates skyrocketed from effectively zero to an overwhelming majority. This development should be applauded as a sign of a more race-tolerant society and because it presents suitors more choice in the field of eligible mates. Since marriage can be taken to be the most sacred of societal relationships, racism in the public eye has been at least ~87% addressed.

With one form of racism more or less expelled, another more onerous version takes its place: a discrimination that is more innate and therefore difficult to expel. This version is predicted by science: by natural selection and theories of sexual fitness. That is to say preference is hardwired into our brains. Desirability among races is clearly seen in statistics aggregated by OkCupid, the frivolous online dating service turned statistical dream. It shows Black women performing worse than average when rated by each racial segment of men, including Black men. The data show the inherent discriminatory nature of people, whether it is conscious or not. Although ~87% of people approve of interracial marriage when asked in a survey, approval does not entirely lead to action.

These racial preferences are not isolated to OkCupid scores. They materialize in a significant skew in interracial marriage rates. As the OkCupid data show, Black women are less desired than Black men by non-Blacks. The result is the following: Black men marry outside of their race far more frequently than Black women. Based on a Pew study, 15% fewer Black men are available for Black women because Black men married non-Black women. There are about the same amount of men and women in each race category, meaning if current trends sustain, 15% of Black women will never be married, quadrupling the normal rate.  

% of newlyweds married to someone of a different race/ethnicity

(Pew Study)

You can see this trend playing out already. In 1950, before interracial marriages were in vogue, we notice that the never-married rate for Black women was lower by 6 percentage points than the rate for Black men, which is similar to the spread seen between White men and women. It is usual for men to be more never married at any given age as they marry later; the opposite is true for women. Then as interracial marriages became more accepted, and as Black men became less available to Black women, the never-married rate for Black women increased from a 6 percentage point advantage to a 6 percentage point disadvantage today. During the same period, the spread between white men and women stayed static. Having fewer unmarried men than unmarried women at the same age creates difficulties for women to ever be married. A 12 percentage point shift is monumental over a 65 year period. Such a move changes a generation’s values, aspirations, expectations and therefore happiness. None of this should be particularly surprising as popular media consistently portray one interracial relationship more frequently than the other (the recently released House of Cards season provides an easy example). What is surprising is how clearly it is transcribed in hard data, and the magnitude of these skews.

Never Married Rate

U.S. Census. Note that both Black men and women have been becoming more never married. This is also a disturbing trend, but we care more about the spread between men and women for purposes of this article.

Mixed couples tend to be higher income and higher educated, meaning not only do Black women face fewer Black men, but a less educated and less affluent group.

An even greater issue than that this discrimination exists is that intelligent people who would otherwise abhor any form of discrimination do not seem to have a problem with these preferences because they are so innate, biologically driven or compounded by the media. These people are the farthest thing from traditional racists and have impeccable moral standing. The very thought that their own subconscious can be described as discriminatory bothers them. One counter-argument made by intelligent people is that preference is not the same as discrimination. That is wrong. Any discrimination can "flipped" and stated as a preference. A second argument is that since intermarriage statistics are strong, Black women have an “equality of opportunity”, and it is up to them to seek interracial marriages. Yet as OkCupid statistics show, this is a demand side problem and it is a difficult argument to assert Black men make better mates than Black women in modern society.

Discrimination is wrong and 80+% of the people know it. Today’s discrimination is no longer about segregated schools and segregated busses. It is more nuanced and involves things that we innately think, and subconsciously gravitate towards. It is something we probably don’t even realize is driving the decisions we make. We should rejoice that so much has changed for the better in the last few decades for the better yet we must not become complacent.

The barriers going forward are more difficult to break down because preference is both engrained in our biology and effected by the media and popular culture. Perhaps we don't treat certain races badly on average, and we don't treat certain genders poorly on average, but we are still biased against some cross-sections of gender and race. But just as we overcame xenophobia, the result of tribal attitudes, we need to overcome centuries of evolutionary bias. I cannot imagine a world without innate discrimination but neither could the young baby boomer believe the 21st century free world would be led by a Black man.  So I have confidence that we will continue to advance socially to create the world we want to live in. And it is up to every one of us to recognize our inherent bias and change our behaviors, one person at a time.

 

Should you buy into a Jackpot of $868m?

In a country where social mobility is promised but is exceedingly rare, it is not surprising that lottery prizes run to extremes. This week, a stupid amount can be won: $868 million USD. That raises the question of whether it is ever beneficial to play the lottery. That is if there is ever a positive expected value. The answer is a complicated one, and so makes for a good blog article.

The Powerball game, the format of the largest lottery event in history, involves two parts. First, you must choose five distinct numbers from 1 to 69, and then choose one number (the “Powerball”) from 1 to 26. To win the prize, you must choose the five numbers correctly (without consideration of order), as well as the Powerball number correctly.

The odds are not difficult to calculate. They are shown here http://www.powerball.com/pb_home.asp. They can be calculated using “lottery probability”. In the first part of Powerball, there are five numbers drawn from 69 balls. The number of ways to do this is written as “69 choose 5” or on excel combin(69,5). It is a mathematical formula that can be derived either using factorials or using pascal’s pyramid. But most simply, it is done on Excel. The answer is 11,238,513. Then multiply by 26 for the Powerball. The result is 292,201,338, for which there is only one winning combination, and so the odds are 1 in 292,201,338.

The winning combinations increase for the lower tier prizes. To choose 4 correct numbers, there are

ways, and so on. To explain this quickly, there are 5 choose 4 ways to choose the correct numbers and 64 choose 1 ways to choose the incorrect numbers, and any combination of the correct and incorrect numbers will result in a certain tier of prize. To adjust for the Powerball, multiply by 25 if the Powerball is to be incorrect, and 1 if it is to be correct. That gives you the odds on the website.

Quickly look at the expected value at each tier of prize. For now, we exclude the Jackpot because that number changes depending on the number of winning tickets.

We notice that, excluding the jackpot, the expected return is only 32 cents on a $2 ticket. We make the assumption that any winnings $100 or less will not be taxed, with increasing tax rates for higher amounts. That results in an after tax return of 25 cents. It is interesting to also notice that the expected returns diminish as odds decrease. I would think this is to create more winners, which leads to higher future sales.

Now, we focus on the Jackpot since that is clearly where most of the expected return will come from. This expectation will depend on the number of co-winners. In the event that you have the Jackpot winning ticket, the number of other winners will follow a binomial distribution with n = number of tickets potentially with your winning number and p = 1/292,201,338, the odds of winning. Now we must calculate the expected value for a given n.

We need the quantity

where J = the jackpot prize, and k = the number of other winning tickets.

Writing combinations with factorials,

we get

which rearranges as

Here, it will become clear why we rearranged the equation. This complicated formula is almost always going to be intractable. Except, in this case, we notice that the summation is just of the probability densities of a Binom(p, n+1). The sum across the space of a probability density is always 1, so we can simplify the summation. More precisely,  the summation is sum of the pdfs of Binom(p, n+1) less the pdf  k=-1. Thus

which is the expected winning given you have a winning ticket. The probability of having a winning ticket is p, and assuming a tax rate of 55%, your expected winnings from the Jackpot tranche is

Thus the total expected return in dollars is

All you need to do is guess how many people have tickets that are capable of winning. Apparently 500 million tickets have already been sold, meaning it is likely that 1bn will be purchased by Wednesday night. Assume you pick a number that is obscure – that people wouldn’t pick themselves. Something with a lot of 13’s, maybe. 70% of tickets are sold on computers, using random number generators. So let’s assume there are 700 million tickets that can be similar to yours. Putting that into the equation gives an E(X) of $0.76 on a $2.00 ticket. I guess it could be worse.

Disclaimer: Randwalk is currently the holder of $10 worth of tickets and will benefit from readers not purchasing tickets, which would decrease n and increase E(J/k+1)). The tickets have been capitalized at $3.8, the rest amortized over the life of the ticket.